|
※サムネイル画像をクリックすると拡大画像が表示されます。
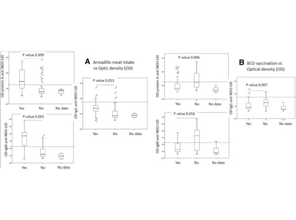
Impact of behavioral variables on?M. leprae?infection levels. Anti-natural octyl disaccharide-leprosy IDRI diagnostic (NDO-LID) antibody levels in children and adolescents were measured by ELISA, using either protein A, anti- IgM or anti-IgG to detect responses. In?a, samples were stratified by recorded knowledge of eating armadillo meat as either yes (n?=?14) or no (n?=?64). In?b, samples were stratified by recorded knowledge of BCG re-vaccination following identification of the index leprosy case as either yes (n?=?54) or no (n?=?16). Data are displayed as box and whisker plots, with the box representing the Q1 to Q3 interquartile range and the horizontal bar representing the median of the optical density of the samples. Individual dots indicate outliers, and?p-values are indicated by the lines above each indicated group. Fig 2. PMID: 31196008.
|
|
|
Impact of behavioral variables on?M. leprae?infection levels. Anti-natural octyl disaccharide-leprosy IDRI diagnostic (NDO-LID) antibody levels in children and adolescents were measured by ELISA, using either protein A, anti- IgM or anti-IgG to detect responses. In?a, samples were stratified by recorded knowledge of eating armadillo meat as either yes (n?=?14) or no (n?=?64). In?b, samples were stratified by recorded knowledge of BCG re-vaccination following identification of the index leprosy case as either yes (n?=?54) or no (n?=?16). Data are displayed as box and whisker plots, with the box representing the Q1 to Q3 interquartile range and the horizontal bar representing the median of the optical density of the samples. Individual dots indicate outliers, and?p-values are indicated by the lines above each indicated group. Fig 2. PMID: 31196008.
|
|
| 別品名 |
ProA, Staphylococcus A protein
|
| 標識物 |
Unlabeled
|
| 精製度 |
Ig fraction - Protein A
|
| Accession No.(Gene/Protein) |
P38507
|
| 発現系 |
Native
|
| 参考文献 |
[Pub Med ID]31196008
|
|
| メーカー |
品番 |
包装 |
|
RKL
|
PA00-00
|
5 MG
|
※表示価格について
| 当社在庫 |
なし
|
| 納期目安 |
約10日
|
| 保存温度 |
4℃
|
|
※当社では商品情報の適切な管理に努めておりますが、表示される法規制情報は最新でない可能性があります。
また法規制情報の表示が無いものは、必ずしも法規制に非該当であることを示すものではありません。
商品のお届け前に最新の製品法規制情報をお求めの際はこちらへお問い合わせください。
|
※当社取り扱いの試薬・機器製品および受託サービス・創薬支援サービス(納品物、解析データ等)は、研究用としてのみ販売しております。
人や動物の医療用・臨床診断用・食品用としては、使用しないように、十分ご注意ください。
法規制欄に体外診断用医薬品と記載のものは除きます。
|
|
※リンク先での文献等のダウンロードに際しましては、掲載元の規約遵守をお願いします。
|
|
※CAS Registry Numbers have not been verified by CAS and may be inaccurate.
|